GPM462M Monochrome Guide Camera

A professional monochrome guide camera featuring Sony IMX462 back-illuminated CMOS sensor with exceptionally strong infrared light capture capability, large full well capacity, high dynamic range, high sensitivity, and low readout noise for outstanding performance in planetary, solar, and lunar photography.

GPM462M Monochrome Guide Camera Product Image

Function Description

The GPM462M camera possesses an exceptionally strong capability to capture infrared light with high QE values at 500nm. It features a large full well capacity, high dynamic range, high sensitivity, and low readout noise among other advantages. Equipped with HCG/LCG dual gain mode switching, the minimum read noise can reach 0.76e⁻. The monochrome sensor provides superior quantum efficiency and eliminates the Bayer pattern interpolation, resulting in sharper images with better detail resolution for planetary photography, as well as in solar and lunar photography.

GPM462M Key Features:

  • IMX462 Mono CMOS Sensor
  • Resolution: 2.1 Megapixels (1920×1080)
  • 2.9 micron square pixels
  • 1/2.8-inch optical format
  • 12-bit ADC
  • Built-in frame buffer
  • HCG/LCG dual gain modes
  • G Sensitivity: 10819 mv, 1/30s
  • Low Noise: 0.76 to 2.61e⁻
  • 18 FPS at all pixel readout 8-bit
  • Maximum SNR: 41 dB
  • Dynamic Range: 73.7 dB
  • Built-in ST4 autoguider interface
  • Peak Quantum Efficiency: >89%

Core Features

0.76 e⁻
Ultra-Low Read Noise
Exceptional low noise performance
12.7 ke⁻
Full Well Capacity
Wide dynamic range performance
> 89%
Peak Quantum Efficiency
High photoelectric conversion
73.7 dB
Dynamic Range
Capture more light and shadow details
HCG/LCG
Dual Gain Modes
Flexible adaptation to different scenarios
ST4
Guide Interface
Direct connection to mount for precise guiding

Technical Advantages

Sony IMX462 Monochrome Sensor Technology

The GPM462M features Sony's IMX462 monochrome back-illuminated sensor with exceptional infrared sensitivity. With read noise as low as 0.76e⁻, full well capacity of 12.7ke⁻, and dynamic range reaching 73.7dB, the GPM462M delivers outstanding performance for astronomical applications. The monochrome sensor provides superior quantum efficiency and eliminates the Bayer pattern interpolation, resulting in sharper images with better detail resolution.

Sony IMX462 Spectral Sensitivity

The GPM462M sensor has an exceptional G sensitivity of 10819mv at 1/30s. Its spectral response range covers 380-1100nm (with AR protect window), delivering excellent sensitivity across the visible spectrum and extending into the near-infrared range. The sensitivity is measured with a purple excitation LED light source with a color temperature of 2850K, with an IR cut filter CM700 (t=1.0mm) placed between the LED light source and the sensor receiving surface to irradiate substantially parallel light.

IMX462 Monochrome Spectral Sensitivity Characteristic

HCG/LCG Dual Gain Modes

The GPM462M supports switching between HCG (High Conversion Gain) and LCG (Low Conversion Gain) modes, providing optimized performance for different imaging scenarios:

HCG High Conversion Gain Mode

  • Ultra-Low Read Noise: As low as 0.76e⁻
  • Application Scenarios: Faint star guiding, deep sky object guiding
  • Full Well Capacity: 4.8ke⁻
  • Advantages: Provides best signal-to-noise ratio in low light conditions

LCG Low Conversion Gain Mode

  • Full Well Capacity: 12.7ke⁻
  • Application Scenarios: Bright star guiding, planetary and solar imaging
  • Read Noise: 2.61e⁻
  • Advantages: Wide dynamic range, prevents overexposure

Smart Frame Buffer Technology

Understanding Frame Buffer Technology

The GPM462M camera has a built-in frame buffer, which helps maintain the stability of data transmission and effectively reduce the amp-glow caused because image data can be temporarily buffered without being sent hastily to the receiver.

How Frame Buffer Works:

Frame buffer is a dedicated high-speed memory component integrated directly into the camera hardware. When the camera sensor captures an image, the data is first written to the frame buffer memory at extremely high speeds. From there, it's transmitted to your computer at the rate supported by your USB connection.

Key Benefits of Frame Buffer:

  • Maintains Data Transmission Stability: The frame buffer acts as an intelligent data staging area between the sensor and computer. If your USB connection experiences temporary slowdowns or your computer is busy processing other tasks, the frame buffer continues collecting sensor data without interruption, preventing dropped frames during critical capture moments.
  • Reduces Amp Glow Phenomenon: By efficiently managing data transfer and allowing image data to be temporarily buffered rather than being sent hastily to the receiver, the frame buffer minimizes the time electronics remain active near the sensor, effectively reducing amplifier glow that can appear as unwanted brightness in image corners.
  • Ensures Maximum Frame Rate with Multiple Cameras: When operating multiple cameras simultaneously, each camera can still achieve its maximum frame rate. The frame buffer operates independently for each device, ensuring no data bottlenecks or interference between cameras during simultaneous operation.
  • Improves System Compatibility: Frame buffer technology allows the GPM462M to work reliably even with older USB 2.0 connections or lower-specification computers, making it an excellent choice for field setups where cutting-edge computing power may not be available.

In practical terms: The frame buffer ensures smooth, reliable image capture regardless of momentary system hiccups or resource constraints, which is particularly valuable during long imaging sessions where data integrity and consistency are paramount.

12-bit ADC and Intelligent ROI

The GPM462M features native 12-bit ADC, providing 4096 gray levels for capturing subtle tonal gradations. The camera supports hardware ROI (Region of Interest) functionality - smaller ROI sizes achieve higher frame rates, which is particularly useful in guiding applications where only a small area containing the guide star needs high-speed acquisition.

Frame Rates at Different Resolutions/Bit Depths/Data Transfer Interfaces

Resolution Bit Depth Mode
12-bit ADC 8-bit ADC
1920 × 1080 8.9 17.8

Unit: Frames per second (FPS) - USB 2.0 interface

Flexible Pixel Binning

The GPM462M supports digital pixel binning from 1×1 to 8×8 in either stacking or averaging method. Pixel binning technology can improve signal-to-noise ratio, particularly useful in faint guiding conditions by combining adjacent pixels to enhance guide star signals while reducing read noise impact.

Built-in ST4 Autoguider Interface

The GPM462M features a built-in standard ST4 autoguider port for easy connection to the autoguider. This design simplifies guiding system configuration, reduces cable connections, and improves system reliability. Compatible with mainstream guiding software like PHD Guiding, MetaGuide, Nebulosity, MaxIm DL, and others for precise autoguiding control.

ST4 Guide Interface

Comprehensive Connection Options

The GPM series cameras offer versatile connection options designed for seamless integration with various telescope setups and guiding systems. The diagram below illustrates the complete connection architecture, showing how the camera interfaces with your mount, computer, and other astronomical equipment for optimal guiding performance.

GPM Series Camera Connection Diagram - USB and ST4 Interface Configuration

Connection Features:

  • USB 2.0 Type-C interface for both data transfer and power supply
  • ST4 autoguider port for direct mount connection
  • Compatible with all major guiding software platforms
  • No external power supply required - powered entirely through USB

Broad Software Compatibility

The GPM462M supports multiple driver interfaces including Native, ASCOM, and WDM, compatible with mainstream astronomy software such as PHD Guiding, Nebulosity, MaxIm DL, SharpCap, MetaGuide, FireCapture, and AstroArt. Provides multi-platform SDK support for Windows, Linux, macOS, including development interfaces for Native C/C++, C#/VB.NET, Python, Java, DirectShow, and Twain.

Convenient Power System

The camera operates via USB 2.0 interface. Upon establishing a connection with the host system using the USB 2.0 cable, the device is primed for operation. This design is particularly suitable for field observations, reducing power cable complexity.

Performance Analysis

The GPM462M provides HCG and LCG gain modes that can be flexibly switched according to different imaging requirements, delivering excellent performance under various conditions.

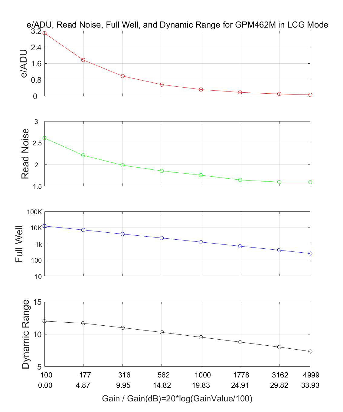
LCG Low Conversion Gain Mode Performance

Camera Settings: Full resolution, RAW 12-bit mode, LCG mode

LCG mode provides full well capacity of 12.7ke⁻, offering good headroom for bright targets. This mode maintains good signal-to-noise ratio while providing wide dynamic range (73.7dB), preventing overexposure on bright targets, particularly suitable for solar, lunar photography and bright planetary imaging.

LCG Mode Performance Curve - e/ADU, Read Noise, Full Well and Dynamic Range

LCG Mode Key Performance Data

Gain Value 100 177 316 562 1000 1778 3162 4999
Rel Gain (dB) 0.00 4.87 9.95 14.82 19.83 24.91 29.82 33.93
e-/ADU 3.09 1.77 0.98 0.56 0.32 0.18 0.10 0.06
Read Noise (e⁻) 2.61 2.21 1.98 1.85 1.75 1.64 1.59 1.59
Full Well (ke⁻) 12.7 7.2 4.0 2.3 1.3 0.7 0.4 0.3
Dynamic Range (stop) 12 11.68 10.99 10.28 9.53 8.78 8.01 7.33

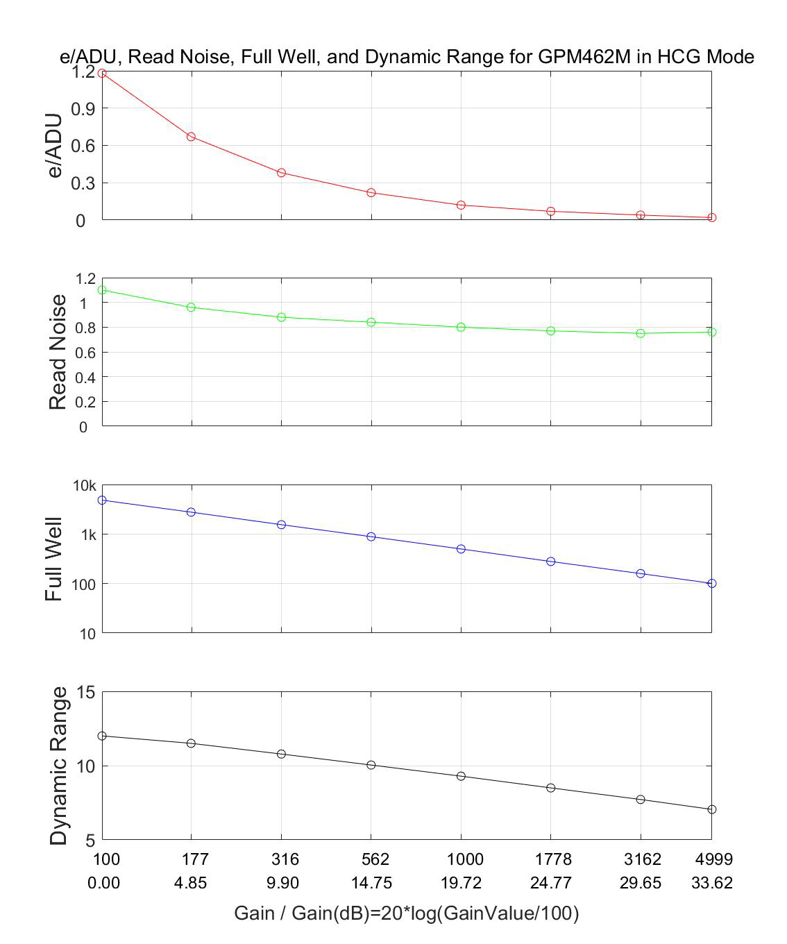
HCG High Conversion Gain Mode Performance

Camera Settings: Full resolution, RAW 12-bit mode, HCG mode

HCG mode is optimized for low-light guiding, providing low read noise (minimum 0.76e⁻). At high gain settings, read noise remains at low levels, making it ideal for capturing faint guide stars, with excellent performance in deep sky object photography.

HCG Mode Performance Curve - e/ADU, Read Noise, Full Well and Dynamic Range

HCG Mode Key Performance Data

Gain Value 100 177 316 562 1000 1778 3162 4999
Rel Gain (dB) 0 4.85 9.9 14.75 19.72 24.77 29.65 33.62
e-/ADU 1.18 0.67 0.38 0.22 0.12 0.07 0.04 0.02
Read Noise (e⁻) 1.1 0.96 0.88 0.84 0.80 0.77 0.75 0.76
Full Well (ke⁻) 4.8 2.8 1.5 0.9 0.5 0.3 0.2 0.1
Dynamic Range (stop) 12 11.5 10.78 10.04 9.29 8.5 7.72 7.05

Technical Specifications

Core Performance Parameters

Maximum Frame Rate (USB 2.0) 12-bit: 8.9 FPS @ 1920×1080
8-bit: 17.8 FPS @ 1920×1080
Read Noise HCG: 0.75-1.1e⁻ | LCG: 1.59-2.61e⁻
Full Well Capacity HCG: 4.8ke⁻ | LCG: 12.7ke⁻
Peak Quantum Efficiency >89%
Dynamic Range 73.7 dB
Signal-to-Noise Ratio 41 dB
Exposure Time Range 0.1ms - 1000s
Gain Range 1× - 500×

Basic Technical Specifications

Sensor Sony IMX462 Monochrome Back-illuminated CMOS
Image Resolution 2.1 Megapixels (1920×1080)
Pixel Size 2.9μm × 2.9μm
Sensor Size 1/2.8-inch (diagonal 6.39mm)
Imaging Area 5.57mm × 3.13mm
Shutter Type Rolling Shutter
ADC Bit Depth 12-bit
Frame Buffer Built-in
Gain Modes HCG/LCG dual mode switching
Spectral Response Range 380-1100nm (with AR protect window)

Interface and Physical Specifications

Data Interface USB 2.0 Type-C
Guide Interface Built-in ST4 autoguider port
Camera Adapter Standard 1.25-inch for telescope connection
Standard C adapter for industrial lens
Back Focal Distance 8.5mm (17.5mm with C-mount, 12.5mm with CS-mount)
Protective Window IR-cut filter/AR-window
External Dimensions Diameter 37mm × Height 72.4mm
Weight 70 grams
Cooling Method Passive cooling
Supported Systems Windows XP/Vista/7/8/10 (32 & 64 bit)
Mac OS X, Linux
SDK Support Native C/C++, C#/VB.NET, Python
Java, DirectShow, Twain, etc.

Camera Interface & Dimensions

Interface Description

  • Directly connects with 1.25-inch telescope eyepiece holders
  • GPM with 1.25-inch extender can be inserted directly into 1.25-inch telescope eyepiece holders
  • Standard C adapter connects to industrial C-mount adapter lenses
  • Built-in ST4 autoguider port for easy connection to the autoguider
  • USB 2.0 Type-C interface provides data transfer and power supply
  • High-quality IR-CUT or AR protective window blocks IR and eliminates reflection

Package Contents

Package Contents Overview

Standard Configuration Includes:

A GPM462M Monochrome Guide Camera Main Unit (with Type-C-Mount inner) × 1
B USB 2.0 Data Cable (2 meters, Type-A to Type-C) × 1
C ST4 Guide Cable (2 meters) × 1
D 1.25-inch Nosepiece × 1
E CS-mount Ring × 1

Gift box dimensions: Length 15cm × Width 15cm × Height 10cm (each package weighs approximately 0.8-1.0 kilograms)
Carton dimensions: Length 50cm × Width 30cm × Height 30cm (20 pieces, 12-17kg per carton, 0.045m³)

Newsletter

Subscribe to ToupTek Astronomy News

Get exclusive expert reviews, new launches, and crucial updates sent directly to you.

You will only receive notifications for new releases and promotions. You may unsubscribe at any time. Emails are sent from marketing@touptek.com.